ENEM 2024 — Questão 130: Ciências da Natureza
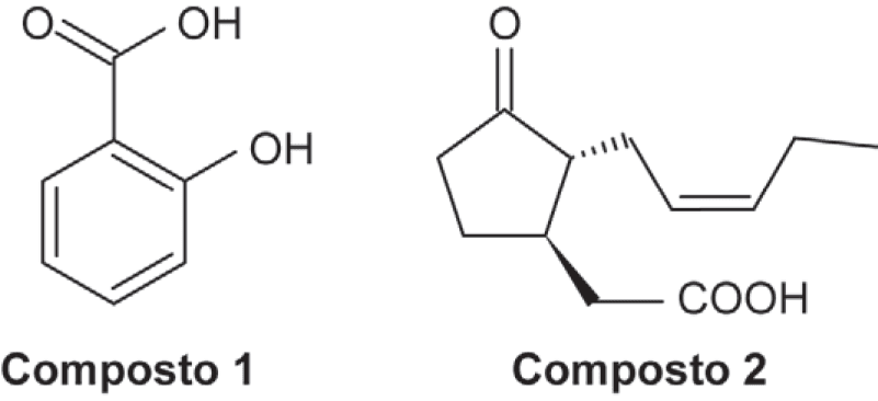
## A química na agricultura: perspectivas para o desenvolvimento de tecnologias sustentáveis Os pesticidas naturais vêm sendo utilizados no controle de pragas e doenças agrícolas como substituintes de pesticidas sintéticos tradicionais, por serem menos nocivos ao ambiente, biodegradáveis e minimizarem custos e riscos relativos à lavoura. Por exemplo, os compostos 1 e 2 estão envolvidos nas respostas de defesa das plantas. Os grupos funcionais presentes nesses compostos são importantes para suas propriedades no controle de pragas. Qual é a função orgânica correspondente ao grupo funcional comum presente nesses dois compostos?

Quer praticar com explicações personalizadas em IA?
Nossa IA explica cada questão no seu nível e adapta o estudo ao que você mais precisa melhorar.