Ciências da NaturezaCiências da Natureza
ENEM 2022 — Questão 118: Ciências da Natureza
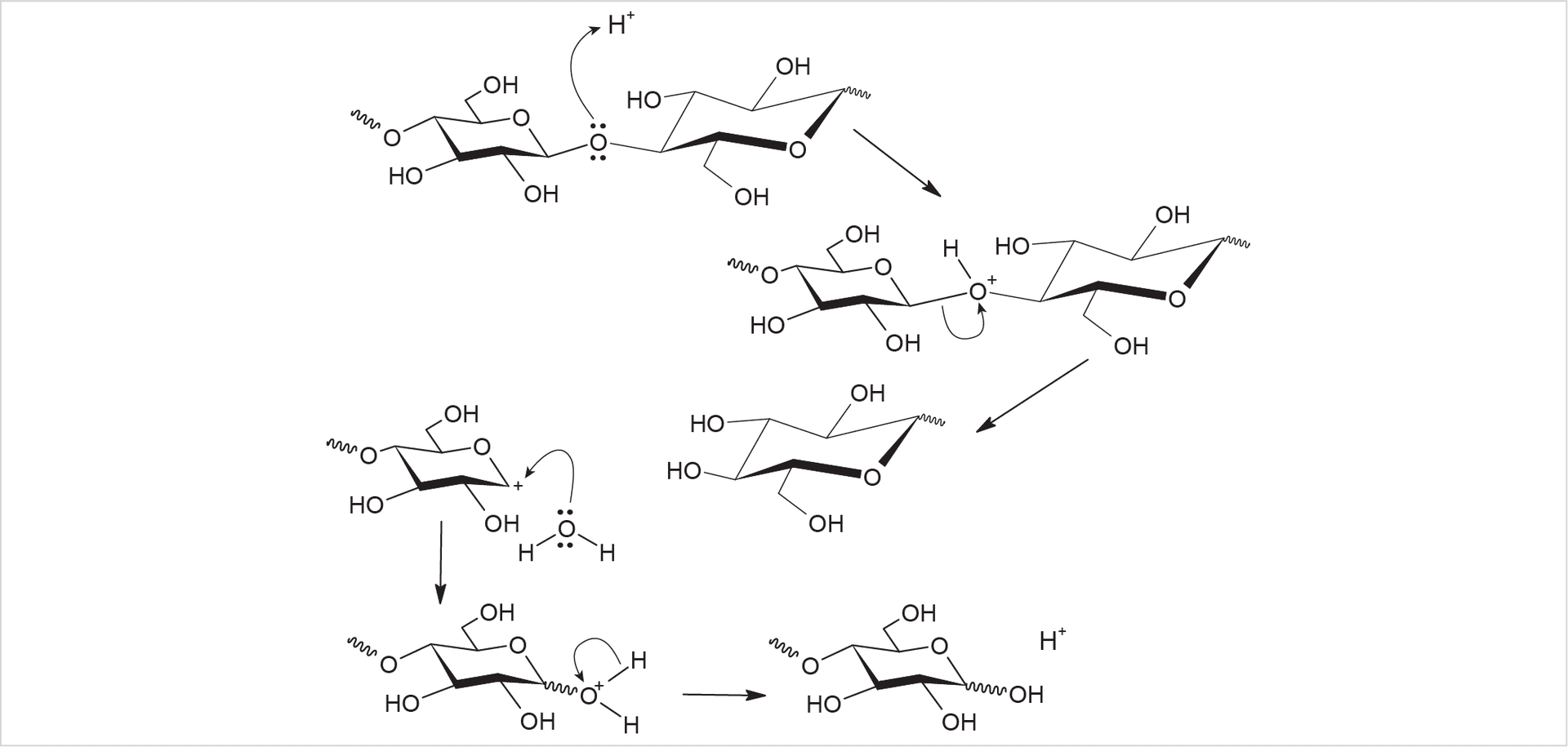
A biomassa celulósica pode ser utilizada para a produção de etanol de segunda geração. Entretanto, é necessário que os polissacarídeos sejam convertidos em mono e dissacarídeos, processo que pode ser conduzido em meio ácido, conforme mostra o esquema: Nessa conversão de polissacarídeos, a função do íon H de carga positiva é

Quer praticar com explicações personalizadas em IA?
Nossa IA explica cada questão no seu nível e adapta o estudo ao que você mais precisa melhorar.